Introduction: Why is it necessary to calculate MOSFET loss?
In power electronics design, the loss of MOSFET (metal oxide semiconductor field-effect transistor) directly affects the efficiency, heat generation, and reliability of the system. If the loss is not accurately calculated at the design stage, it may lead to:
- MOSFET overheating and damage
- Decrease in system efficiency
- Distortion of switching waveforms (ringing, voltage spikes)
- Intensification of EMI problems
SHYSEMI will detail the 8 major loss sources of MOSFET and provide optimization solutions to help engineers improve the efficiency of power supply design.
1. The 8 Core Components of MOSFET Loss
On-state loss (Pon)
Definition: The ohmic loss generated when the MOSFET is fully conducting, with current flowing through RDS(on) (on-state resistance).
Formula:

Optimization methods:
- Select low RDS(on) MOSFET
- Optimize heat dissipation design (such as adding heat sinks)
Dielectric Loss (Poff)
Formula:

Optimization method:
- Select low IDSS MOSFET (models with low leakage current)
On-Power Loss (Pon_sw)
Definition: Switching loss caused by the overlap of the voltage (VDS) drop and the current (IDS) rise during the moment of MOSFET turn-on.
Calculation formula:
- Ideal condition (Class A):

The worst-case scenario (Category B):

Optimization methods:
- Reduce switching time (tr, td)
- Employ soft-switching techniques (such as ZVS)
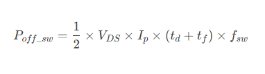
Switch-off process loss (Poff_sw)
Definition: Loss caused by the overlap of voltage rise and current drop during the MOSFET's turn-off moment.
Calculation formula:
- Type A (more ideal):

Class B (worst-case scenario):

Optimization methods:
- Optimize gate drive (reduce tf)
- Use RC absorption circuit
Drive Loss (Pgs)
Definition: Loss caused by the charging and discharging of the gate.
Formula:

Optimization methods:
- Select low-Qg MOSFETs
- Optimize the driver circuit (such as using push-pull driver)
Coss Capacitor Discharge Loss (Pds)
Definition: The loss generated when the output capacitor Coss discharges during conduction.

Optimization method:
- Select low-Coss MOSFETs (such as GaN devices)
- Forward conduction loss of body diode (Pd_f)
Definition: The forward voltage drop loss when the MOSFET body diode is conducting.
Formula:

Optimization method:
- Avoid body diode conduction (similar to optimizing the dead time in synchronous rectification)
Reverse Recovery Loss of Body Diode (Pd_recover)
Definition: Loss caused by the reverse recovery charge Qrr of the body diode.
Formula:

Optimization method:
- Select fast recovery diodes (FRD/MUR) or SiC/GaN devices
- How to Reduce MOSFET Losses?
- Optimize the Switching Process
- Soft-switching technology (ZVS/ZCS): Reduce switching losses
- Resonant converter: Utilize LC resonance to lower switching stress
- Optimize the Drive Design
- Reduce gate resistance (Rg) to accelerate switching speed
- Use strong drive ICs (such as dedicated MOSFET drivers)
- Optimize PCB Layout
- Reduce parasitic inductance (shorten power loop)
- Multi-layer board design to reduce EMI
- Select the Appropriate MOSFET
- Low RDS(on) → Reduce conduction losses
- Low Qg → Reduce drive losses
- Low Coss → Reduce leakage losses
3. Summary
The main losses of MOSFETs come from eight aspects: conduction loss, switching loss, drive loss, body diode loss, etc. By optimizing the switching process, PCB layout, and component selection, the system efficiency can be significantly improved.
From the above content, it is easy to identify the following key points:
- Switching loss accounts for a large proportion and needs to be optimized with priority.
- Soft-switching technology can significantly reduce high-frequency losses.
- MOSFETs with low RDS(on) and low Qg are more suitable for high-frequency applications.
We hope this article can help engineers better calculate and optimize MOSFET losses.


